哈尔滨市第六中学2017届高三12月月考语文试题及答案解析(5)
来源:
海博学习网 www.tradetolearn.com 发布时间:2016-12-06 15:44
第Ⅱ卷(表达题 共80分)
三、语言文字运用(20分)
17.下列各句中加点成语的使用,全部正确的一组是( )
①由于伤病,新疆广汇男篮的外援“幸福组合”中的韦弗赴京城复诊,辛格尔顿返美治疗,久假不归,新疆“飞虎队”一度是“全华班”上阵。
②在13届罗马世界游泳锦标赛上,张琳在男子800米自由泳决赛中夺得中国男游历史上第一个男子世界冠军,当人们问他有何感想时,他竟然出言无状,脸憋得通红,只是说:“感谢我的教练,感谢所有支持、帮助过我的人。”
③范曾泼墨人物画的出现,使几成绝唱的粱楷泼墨人物画于八百年之后,再次奏出黄钟大吕般的华美乐章。
④“顺风车”是爱心活动,车主们都是怀着做好事做善事的心来的,我们提倡做好事更要有好的回报,这样社会上好人好事才会可持续发展,才会细水长流。
⑤宝玉还是有些歪才的,大观园试才题对额的时候已有显现;只不过他无心进取,所以在贾府人眼中,他才苗而不秀,成了个“银样镴枪头”。
⑥他创作的两部小说虽然题材不同,发表的时间不同,但异曲同工,在评论界引起了很大反响。
A.①②⑥ B.①③⑥ C.③④⑤ D.②④⑤
18.下列各句中,没有语病的一句是( )
A.“辽宁舰”的舰员在选拔时,年龄、经历、任职时间、现实表现等方面都有着严格的规定,入选者还要经过一系列的理论和技术培训才能成为合格的航空母舰舰员。
B.政府主导,媒体监督与宣传,社会各界积极行动,是解决目前我国农村约5800万缺失父母庇护的留守儿童身心成长、学习生活所面临的失管、失教和失衡问题。
C.湘、鄂、皖、赣四省地域相邻,山水相连,在非物质文化遗产的保护、传承等方面开展深度合作,既可整合旅游资源,也有助于形成极具特色的区域文化生态圈。
D.城镇化攸关到亿万人民的生活质量,它不是简单的城镇人口比例增加和城市面积扩张,而是在人居环境、社会保障、生活方式等方面实现由“乡”到“城”的转变。
19.依次填入下面一段文字横线处的句子,衔接最恰当的一项是( )
从叙事的角度说,《红楼梦》特别令人赞叹的是其中真实而丰满的细节描写。① 中国古典小说从魏晋小说的“粗陈梗概”,到宋元说书的矜奇尚异,细节描写② 失之简陋、夸张,而《红楼梦》则③ ,它完全是以丰富的生活细节构成了小说叙事的主体。这些“家庭琐事、闺阁闲情”不但真实可信,而且内涵深刻,④ 具有以小见大的艺术容量,充分显示了曹雪芹对现实生活敏锐的观察力和表现力。
|
|
① |
② |
③ |
④ |
|
A |
\ |
往往 |
相反 |
因此 |
|
B |
由于 |
都 |
不然 |
\ |
|
C |
\ |
都 |
相反 |
因此 |
|
D |
因为 |
往往 |
不然 |
\ |
20.在下面一段文字横线处补写恰当的语句,使整段文字语意完整连贯,内容贴切,逻辑严密,每处不超过14个字。(6分)
一个人抵抗逆境的“精神资本”有多丰厚, ① 。读书能够实现“灵魂之壮游”“智慧之攀登”,从而体会到一种超然忘我的乐趣。读书的真正意义, ② 。耶鲁大学教授布鲁姆认为,阅读最大的功用是帮助我们善用孤独和享受孤独。的确, ③ 。你需要的只是一本书和一盏灯而已。从这个意义上说,阅读在本质上和骨子里是在阅读社会、阅读时代、阅读人生。
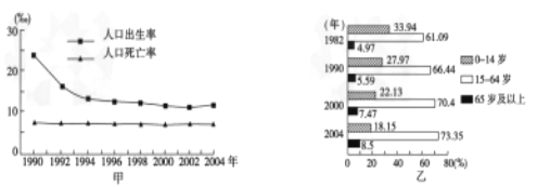
21.阅读“某省人口出生率、死亡率变化图”和“人口年龄结构变化图”,完成后面的问题。 (5分)
(1)从表中看出该地人口的特点是:① ;② ;③ 。
(2)针对65岁以上人口比率不断攀升的情况,提出你的建议: 。

六、写作(60分)
22.阅读下面的材料,根据自己的感悟和联想,写一篇不少于800字的文章。(60分)
过去我们熟悉的是信封信纸,现在熟悉的是微信微博;过去熟悉的是笔墨纸砚,现在熟悉的是鼠标键盘;过去熟悉的是书香墨宝,现在熟悉的是手机电脑。现在与过去对比,会引起我们许多联想和感慨。
要求:①选准角度,自定立意;②自拟题目;③除诗歌外,文体不限;④文体特征鲜明。

|
------分隔线----------------------------